安徽艾约塔硅油有限公司
网站首页
关于我们
产品中心
全部
化妆品硅油
甲基硅油
苯基硅油
挥发性硅油
有机硅弹性体
有机硅乳液
有机硅乳化剂
复合硅油
化妆品用硅树脂
通用硅油
资料下载
新闻资讯
公司新闻
行业动态
联系我们
English
网站首页
关于我们
产品中心
资料下载
新闻资讯
联系我们
您的位置:
网站首页
行业动态
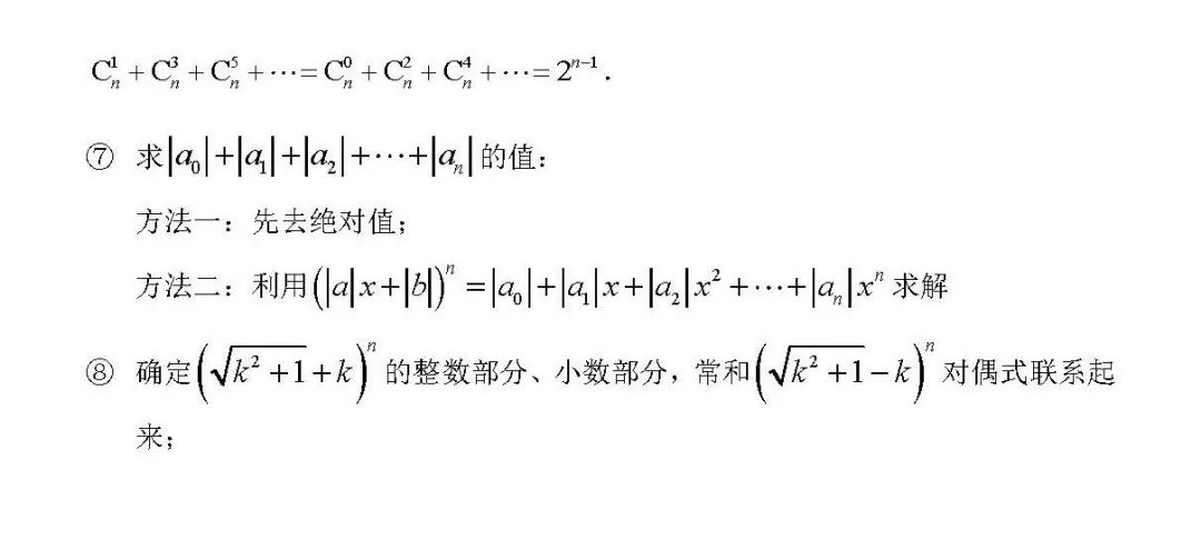
高中数学100个核心考点,高考一轮复习必备神器!
高中数学100个核心考点,高考一轮复习必备神器!
阅读量:3603818
2019-10-20
上一篇:
What !学习就是打王者荣耀?高考状元就是最强王者?
下一篇:
2019成人高考准考证开始打印!考试时间:10月26日-27日
为您推荐
{全程0自费!游海上花园,品味秋韵土楼}¥899 厦门、鼓浪屿、南普陀寺、南靖土楼、疯狂海岸车技秀、环岛路、曾厝垵双飞5日游
“一座比一座漂亮”武汉桥梁让外国运动员印象深刻,直呼壮美
金色福11、12月旅行计划简表
拿证速递丨7695套!重庆本周有57个项目入市,高层房源占比70%以上!
【济宁头条】中国北方最大跨湖桥梁——微山湖特大桥26日成功合龙
【周六动车·玩味潮汕】¥568元|玩味潮汕南澳美食双动2天
速看!11月赣州楼市开盘预告!众多新品入市吸睛!你最期待哪个?
打卡北京新机场!大兴机场国际港澳台航线昨日开航
11月“震撼”“抵玩”299元/人【品鉴999龙虾鲍鱼盛宴】 潮州古城、南澳岛+福建东山岛双岛联游3天
这两本桥梁书籍,将在2019年中国桥博会上开售
在线QQ咨询,点这里
QQ咨询
微信服务号